涡街流量计工作原理-旋涡式 涡街流量计的测量方法基于流体力学中的卡门涡街原理。把一个旋涡发生体 ( 如圆柱体,三角柱体等非流线型对称物体 ) 垂直插在管道中,当流体绕过旋涡发生体是会在其左右两侧后方交替产生旋涡,形成涡列,且左右两侧旋涡的旋转方向相反,这种旋涡列就称为卡
涡街流量计的测量方法基于流体力学中的卡门涡街原理。把一个旋涡发生体(如圆柱体,三角柱体等非流线型对称物体)垂直插在管道中,当流体绕过旋涡发生体是会在其左右两侧后方交替产生旋涡,形成涡列,且左右两侧旋涡的旋转方向相反,这种旋涡列就称为卡门涡街,如图
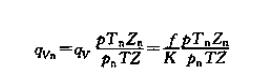
 由于旋涡之间相互影响,旋涡列一般是不稳定的,而当两旋涡列之间的距离h和同列的两个旋涡之间的距离L满足公式h/L=0.281时,非对称的旋涡列就能保持稳定,此时旋涡的频率f与流体的平均流速V及旋涡发生体的宽度d有如下关系 F=Stv/d 式中,St为斯特劳哈尔系数,与旋涡发生体宽度d和流体雷诺数Re有关,在雷诺数Re为2×104~7×106的范围内St为一常数,而旋涡发生体宽度d也是定值,因此旋涡产生的频率f与流体的平均流速v成正比,在根据体积流量与流速的关系,可推导出体积流量Qv与旋涡频率f的关系式qv=f/K 式中,K为流量计流量系数,其物理意义是每升流体的脉冲数, 当流量计管道内径D和旋涡发生体宽度为确定值时,K值也随之确定。 当测量气体流量是,涡街流量计的流量计算公式为
 式中,Pn,Tn分别为标准状态下压力和温度,Z,Zn分别为工作状态下和标准状态下的气体压缩系数;qvn为标准状态下(20℃,101.325KPa)体积流量;p,T分别为工作压力和温度。
从式qv=f/K可知,在一定的雷诺数Re范围内,体积流量qv与旋涡的频率f呈线性关系,只要测出旋涡的频率f就能求得流过流量计管道流体的体积流量qv
|