气体流量测量和校准的原理与实践
气体流量测量和校准的原理与实践 一、气体流量校准的基本公式 二、气体流量校准的基本原理 进行比较法流量测量的重要因素 质量流量与体积流量 : 设备和单位 泄露对测量的影响 建立稳定气流状态的重要性 硬件配置注意事项 基标准和二级标准 福禄克流量校准中
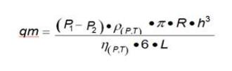
气体流量测量和校准的原理与实践 一、气体流量校准的基本公式

二、气体流量校准的基本原理 •进行比较法流量测量的重要因素 •质量流量与体积流量: 设备和单位 •泄露对测量的影响 •建立稳定气流状态的重要性 •硬件配置注意事项 •基标准和二级标准 •福禄克流量校准中的新内容
三、基本假定:
对于顺序连接的流量参考设备和被测设备, 通过每个部分的流量是相等的。

此假设至少依赖于三个因素
1.测量的量是质量 2.无泄漏 3.排除了瞬时影响(稳定状态流量)
体积流量和质量流量 •体积流量是体积比时间:qv=cc/min •质量流量是质量比时间:qm=g/min •标准质量流量: 质量流量单位常被表示为某种标准状态下的体积流量单位: • sccm, slm, sm3/h 是质量流量单位. • cc/min, ccm, or accm 是体积流量单位. 提示:表示为体积流量单位的质量流量单位是测量误差的常见来源.
问题1: 气体流量测量的根本是基 于质量流量还是体积流量?
理解标准质量流量单位(sccm, slm)
在两种不同压力和温度条件下(密度)的1 毫升(cc) 体积
 每个体积内的质量(分子数量)是不同的. 标准状态毫升(standard cubic centimeter, scc) 定义标准状态下(压力和温度)每毫升的质量
为什么是质量流量? 几乎所有的气体流量都依据于质量流量,不是体积流量. 质量流量对一下应用是非常重要的: • 运输监护 • 气体混合 • 化工 / 生物反应 • 泄漏率监测 • 化学蒸汽沉积 / 蚀刻... 质量流量对体积流量 质量流量是守恒的: qm1 = qm2

在密闭系统中,气体密度随温度和压力的变化而改变。
必须知道气体密度才能进行准确、直接的气体流量比较测量!
问题2: 可否使用质量流量标准器 对体积流量仪表进行校准?
质量流量对于体积流量
qm = qv • ρ

|